Основы гидравлики и гидросистем
Современная спецтехника немыслима без мощных и надежных гидравлических систем, которые обеспечивают работу сложнейших механизмов — от подъема многотонных грузов до точного позиционирования рабочих органов. Гидравлика стала неотъемлемой частью строительной, дорожной, сельскохозяйственной и карьерной техники благодаря своей способности передавать огромные усилия при компактных размерах. В данной статье мы подробно рассмотрим физические принципы работы, основные компоненты, методы расчета и практическое применение гидравлических систем в различных отраслях специального машиностроения.
- Профессиональный совет: Правильный подбор гидравлических компонентов с учетом всех эксплуатационных параметров увеличивает срок службы оборудования на 30-40% и значительно снижает эксплуатационные расходы. Всегда консультируйтесь со специалистами при проектировании и обслуживании гидравлических систем.
Физические основы гидравлики: от теории к практике
Гидравлические системы основаны на фундаментальных законах физики, которые позволяют эффективно передавать и преобразовывать энергию. Понимание этих принципов необходимо для грамотной эксплуатации и обслуживания спецтехники.
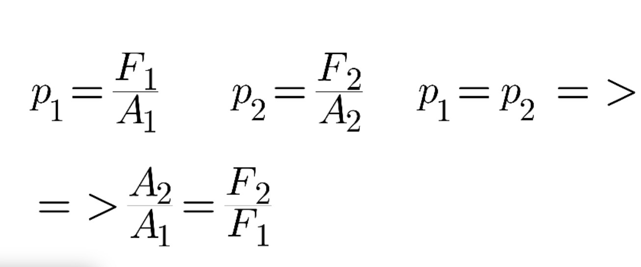
Давление — это фундаментальная величина в гидравлике, численно равная силе, действующей на единицу площади. Данная зависимость описывается классической формулой: Для лучшего понимания взаимосвязи между давлением, силой и площадью в гидравлике используется мнемонический треугольник, аналогичный закону Ома в электротехнике: Основной единицей измерения давления в системе СИ является Паскаль [Па]. Для практических применений в гидравлике используются более крупные единицы: Гидростатическое давление — это давление внутри покоящегося столба жидкости, возникающее под действием силы тяжести. Данное явление описывается формулой: где: ρ — плотность жидкости [кг/м³], g — ускорение свободного падения [м/с²], h — высота столба жидкости [м] Важной особенностью гидростатического давления является его независимость от формы сосуда — давление зависит только от высоты столба жидкости и ее плотности. Закон Паскаля гласит, что давление, создаваемое на жидкость в замкнутом сосуде, передается одинаково во всех направлениях и действует одинаково на все площади. Этот принцип лежит в основе работы всех гидравлических систем: Практическое применение закона Паскаля демонстрирует принцип гидравлического усиления: Математическое выражение принципа усиления: Это означает, что соотношение усилий прямо пропорционально соотношению площадей поршней, что позволяет создавать значительные усилия при относительно небольших входных воздействиях. Современная гидравлическая система представляет собой сложный комплекс взаимосвязанных компонентов, каждый из которых выполняет определенную функцию. Рассмотрим основные элементы гидросистем. КОМ и ВОМ работают в тесной связке, обеспечивая отбор мощности от двигателя или трансмиссии транспортного средства и передачу ее к гидравлическому насосу. Конструктивно КОМ устанавливается на коробку передач или раздаточную коробку в зависимости от особенностей техники. Типы КОМ по режиму работы Гидронасосы выполняют ключевую функцию — преобразуют механическую энергию вращения в энергию потока жидкости под давлением. В современной спецтехнике применяются несколько типов насосов: Гидравлические распределители управляют направлением потоков рабочей жидкости, обеспечивая подачу масла к нужным исполнительным механизмам. Современные распределители могут быть: Гидравлический бак выполняет несколько критически важных функций: хранение запаса рабочей жидкости, ее охлаждение, отделение воздуха и осаждение загрязнений. Объем баков варьируется от 50 до 500 литров в зависимости от мощности системы. РВД и РНД являются «кровеносными сосудами» гидравлической системы, обеспечивая передачу рабочей жидкости между компонентами. Конструктивно состоят из нескольких слоев: Правильный расчет параметров гидравлической системы обеспечивает ее эффективную и надежную работу в заданных условиях эксплуатации. Для определения необходимого давления в системе используется формула: где: P — требуемое давление [Па], F — необходимое усилие [Н], A — эффективная площадь поршня [м²] Расчет требуемого расхода жидкости для обеспечения заданной скорости: где: Q — расход [м³/с], A — площадь поршня [м²], v — скорость движения [м/с] Мощность, потребляемая гидравлической системой, рассчитывается по формуле: где: N — мощность [Вт], P — давление [Па], Q — расход [м³/с], η — общий КПД системы Гидравлические системы продолжают активно развиваться, приобретая новые качества и возможности: Правильная эксплуатация и своевременное обслуживание — залог долговечности и надежности гидравлической системы. Систематическая проверка давления, температуры и уровня жидкости позволяет выявить проблемы на ранней стадии Использование рекомендованных масел и своевременная замена фильтров — ключевой фактор долговечности системы Регулярный визуальный осмотр РВД, соединений и уплотнений предотвращает внезапные отказы Гидравлические системы остаются незаменимым компонентом современной спецтехники, обеспечивая передачу значительных мощностей при компактных размерах. Понимание физических принципов работы, правильный подбор компонентов и грамотная эксплуатация позволяют максимально реализовать потенциал гидравлических систем и обеспечить их долговечную и надежную работу.Специалисты компании «Гидравлик-Трак» готовы помочь вам с подбором, расчетом и поставкой гидравлических компонентов для любых применений. Мы предлагаем широкий ассортимент качественного гидравлического оборудования и запасных частей от проверенных производителей.
Понятие давления в гидравлических системах



Гидростатическое давление и его особенности
P = ρ × g × h

Закон Паскаля — фундаментальный принцип гидравлики



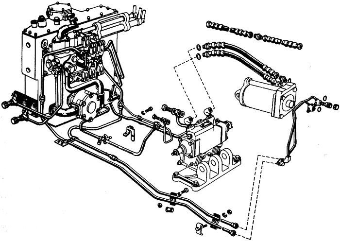
Компоненты гидравлических систем для спецтехники
Коробка отбора мощности (КОМ) и вал отбора мощности (ВОМ)
Гидравлические насосы: сердце системы

Гидрораспределители: мозг системы
Гидробаки и системы очистки

Рукава высокого и низкого давления
Расчет и проектирование гидравлических систем
Расчет требуемого давления и расхода
P = F / A
Q = A × v
Мощность гидравлической системы
N = P × Q / η
Современные тенденции в развитии гидравлических систем

Эксплуатация и обслуживание гидравлических систем
Регулярный контроль параметров
Качество рабочей жидкости
Профилактический осмотр
Заключение